• Предмет: Физика
  • Автор: Аноним
  • Вопрос задан 2 года назад

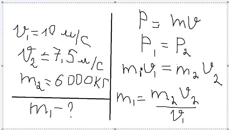
Визначте масу африканського слона, якщо, рухаючись зі швидкістю 36 км/год, він має такий самий імпульс, як і 6-тонний кит, що рухається зі швидкістю 27 км/год.​

Ответы

Ответ дал: yakovlevlev200766
0

Ответ:

m1= 4500 кг

Объяснение:

Приложения:
Вас заинтересует