• Предмет: Физика
  • Автор: viktoriyafilina
  • Вопрос задан 10 лет назад

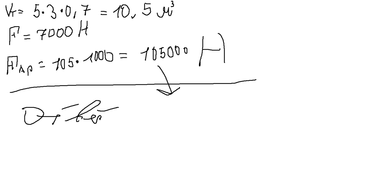
прямоугольный понтон масса которого равна 700 кг имеет длину 5 м ширину 3 м и высоту 0.7 м.Определите осадку понтона без нагрузки.плотность воды примете 1 г/кубический см

Ответы

Ответ дал: blad3518
0
Я думаю так!
,,,,,,,,,,,,,,
Приложения:
Ответ дал: viktoriyafilina
0
ну что
Ответ дал: blad3518
0
Может ты что-то напутала с велечинами?
Ответ дал: viktoriyafilina
0
нет всё правильно
Ответ дал: blad3518
0
Извиняюсь но он у меня не тонет сила Архимеда привышает силу тяжести
Ответ дал: viktoriyafilina
0
блин
Вас заинтересует