• Предмет: Алгебра
  • Автор: daniillevcenko175
  • Вопрос задан 2 года назад

Запишіть вираз у вигляді степеня з основою Х (обов'язково зробіть фото або напишіть рішеня)

Приложения:

Аноним: скину розв‘язок в інст @mathematic_89

Ответы

Ответ дал: NNNLLL54
0

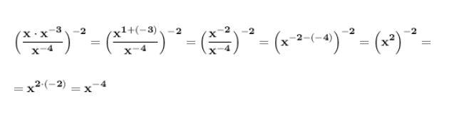
Ответ:

Применяем свойства степеней .

\bf \displaystyle \Big(\frac{x\cdot x^{-3}}{x^{-4}}\Big)^{-2}=\Big(\frac{x^{1+(-3)}}{x^{-4}}\Big)^{-2}=\Big(\frac{x^{-2}}{x^{-4}}\Big)^{-2}=\Big(x^{-2-(-4)}}\Big)^{-2}=\Big(x^{2}\Big)^{-2}=\\\\\\=x^{2\cdot (-2)}=x^{-4}

Приложения:
Вас заинтересует