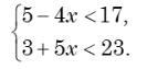
Знайди найменший цілий розв’язок системи нерівностей
А) –4;
Б) –3;
В) –2;
Г) 1.
Приложения:

Аноним:
скину розв‘язок в інст @mathematic_89
Ответы
Ответ дал:
1
Ответ:
В) -2
Объяснение:
Тогда наименьшим целым решением системы будет х = (-2).
Вас заинтересует
1 год назад
1 год назад
1 год назад
2 года назад
8 лет назад
8 лет назад