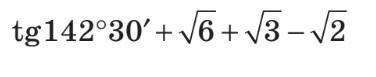
Доказать, что выражение является целым числом
Приложения:

antonovm:
да , двум равно , надо использовать тангенс половинного угла , перейти к 285 градусам , потом к 105 , использовать формулы сложения и избавиться от иррациональности в знаменателе , вообщем чисто техническая муть , математики нет
Ответы
Ответ дал:
1
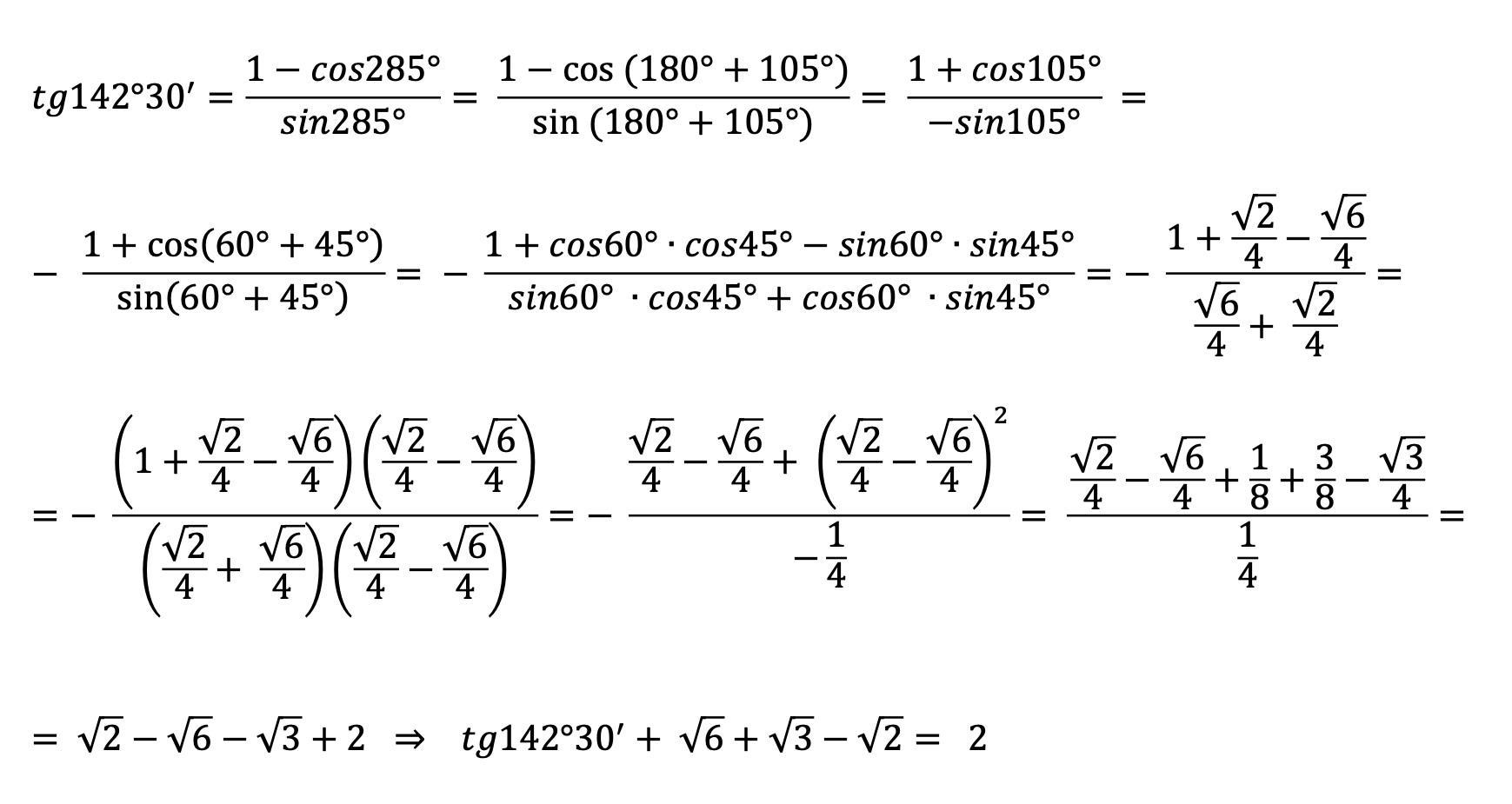
Ответ:
2 ....................
Объяснение:
Приложения:

Вас заинтересует
1 год назад
1 год назад
1 год назад
2 года назад
2 года назад