• Предмет: Алгебра
  • Автор: maternovskiyvladisla
  • Вопрос задан 1 год назад

Завдання на картці срочно дам 55 баллів​

Приложения:

Ответы

Ответ дал: timofei9009900
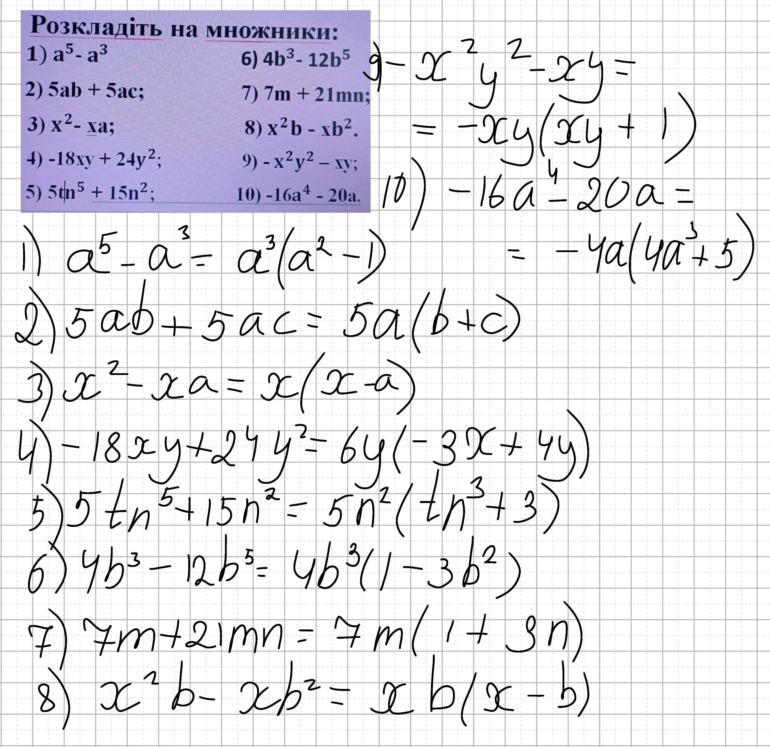
1

Ответ:

1) \:  {a}^{5}  -  {a}^{3}  =  {a}^{3} ( {a}^{2}  - 1)

2)5ab + 5ac = 5a(b + c)

3) {x}^{2}  - xa = x(x - a)

4) - 18xy + 24 {y}^{2}  = 6y( - 3x + 4y)

5)5t {n}^{5}  + 15 {n}^{2}  = 5 {n}^{2} (t {n}^{3}  + 3)

6)4 {b}^{3}  - 12 {b}^{5}  = 4 {b}^{3} (1 -  3 {b}^{2} )

7)7m + 21mn = 7m(1 + 3n)

8) {x}^{2} b - x {b}^{2}  = xb(x - b)

9) -  {x}^{2}  {y}^{2}  - xy =  - xy(xy + 1)

10) - 16 {a}^{4}  - 20a =  - 4a(4 {a}^{3}  + 5)

Ответ дал: fortuna55
1

Ответ:

на фото

Объяснение:

Приложения:
Вас заинтересует