• Предмет: Алгебра
  • Автор: skavarodka227
  • Вопрос задан 1 год назад

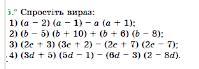
очень срочна памагите

Приложения:

Ответы

Ответ дал: cookie210735f
2

ответ на картинке и можешь пожалуйста поставить лучший ответ? ♡

Приложения:
Вас заинтересует