• Предмет: Алгебра
  • Автор: olgaklemcuk
  • Вопрос задан 2 года назад

оолооооо срочна на уроке делаем ( урок онлайн) ​

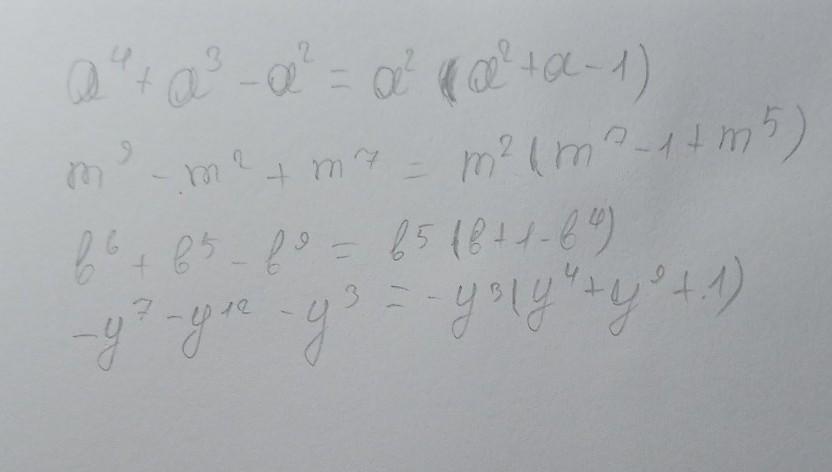
Приложения:

Ответы

Ответ дал: cookie210735f
1

Ответ:

все на фото и ещё можешь пожалуйста поставить лучший ответ? ♡

Приложения:

olgaklemcuk: дякую велике , дам лучший ответ когда появиться кнопка
cookie210735f: спасибо ♡
Вас заинтересует