Ответы
Ответ дал:
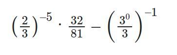
0
Ответ:
ну вроде правильно........
Приложения:

Вас заинтересует
1 год назад
1 год назад
1 год назад
2 года назад
2 года назад
8 лет назад