• Предмет: Алгебра
  • Автор: nurgulmakazanova
  • Вопрос задан 1 год назад

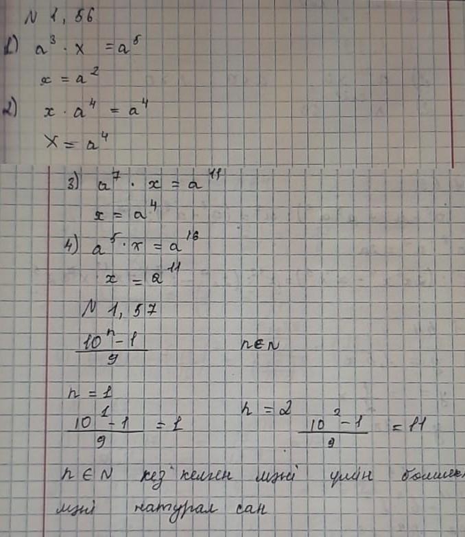
срочно пж 7 класс с 156 номер 24.5.​

Приложения:

Ответы

Ответ дал: ayazhanegenbay43
0

Объяснение:

№156 24.5 7 класс Алгебра

Приложения:
Вас заинтересует