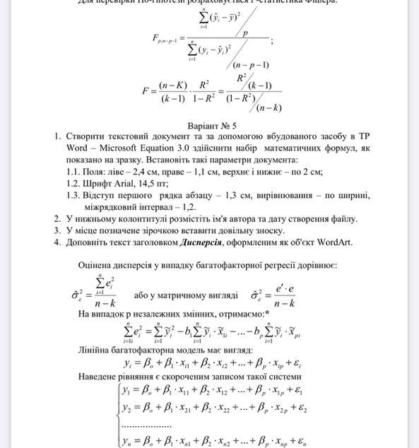
1. Створити текстовий документ та за допомогою вбудованого засобу в ТР
Word Microsoft Equation 3.0 здійснити набір математичних формул, як
показано на зразку. Встановіть такі параметри документа:
1.1. Поля: ліве - 2,4 см, праве – 1,1 см, верхнє і нижнє по 2 см;
1.2. Шрифт Arial, 14,5 пт;
1.3. Відступ першого рядка абзацу 1,3 см, вирівнювання по ширині,
міжрядковий інтервал – 1,2.
2. У нижньому колонтитулі розмістіть ім'я автора та дату створення файлу.
3. У місце позначене зірочкою вставити довільну зноску.
4. Доповніть текст заголовком Дисперсія, оформленим як об'єкт WordArt.
Приложения:

Ответы
Ответ дал:
0
Ответ: привет
Объяснение: хомяк
ттоог
Вас заинтересует
1 год назад
1 год назад
1 год назад
1 год назад
2 года назад
2 года назад
8 лет назад