• Предмет: Алгебра
  • Автор: kutsviktoria52
  • Вопрос задан 1 год назад

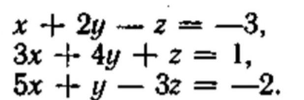
вирішити методом Гауса плиз

Приложения:

Ответы

Ответ дал: akbotamuratzhan011
0

Ответ:

2x+3y+z=102�+3�+�=10 , 2x−3y−3z=222�-3�-3�=22 , 4x−2y+3z=−2

и это напишешь;

x=5�=5

y=2�=2

z=−6�=-6

Вас заинтересует