• Предмет: Геометрия
  • Автор: Anymaker
  • Вопрос задан 10 лет назад

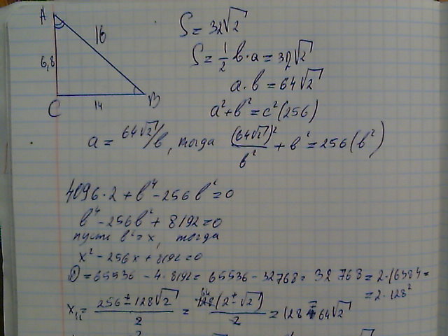
Пожалуйста помогите) Гипотенуза прямоугольного треугольника равна 16, а его площадь- 32√2. Найдите острые углы этого треугольника.

Ответы

Ответ дал: 4xListnik
0

задача конечно...порадовала)) не факт что решена правильно, но зато какое интересное рассуждение получилось


Приложения:
Вас заинтересует