• Предмет: Алгебра
  • Автор: fctdgsygfdhngfxzgsac
  • Вопрос задан 1 год назад

Обчислити інтеграли методом заміни змінних.

Приложения:

Ответы

Ответ дал: NNNLLL54
1

Ответ:

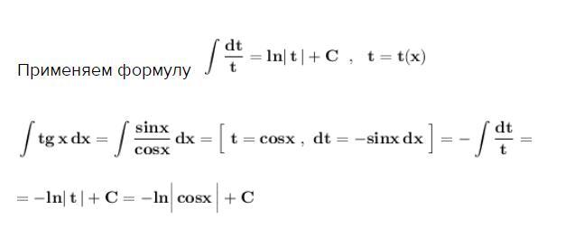
Метод замены переменной .

Применяем формулу   \bf \displaystyle \int \frac{dt}{t}=ln|\, t\, |+C\ \ ,\ \ t=t(x)  

\bf \displaystyle \int tg\, x\, dx=\int \frac{sinx}{cosx}\, dx=\Big[\ t=cosx\ ,\ dt=-sinx\, dx\ \Big]=-\int \frac{dt}{t}=\\\\\\=-ln|\, t\, |+C=-ln\Big|\, cosx\, \Big|+C

Приложения:

fctdgsygfdhngfxzgsac: спасибо большое)
Вас заинтересует