• Предмет: Алгебра
  • Автор: fctdgsygfdhngfxzgsac
  • Вопрос задан 2 года назад

Обчислити інтеграли методом заміни змінних.

Приложения:

Ответы

Ответ дал: NNNLLL54
1

Ответ:

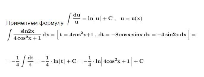
Метод замены переменной .

Применяем формулу  \bf \displaystyle \int \frac{du}{u}=ln|\, u\, |+C\ ,\ \ u=u(x)  

\bf \displaystyle \int \frac{sin2x}{4\, cos^2x+1}\, dx=\Big[\ t=4cos^2x+1\ ,\ dt=-8\, cosx\cdot sinx\, dx=-4\, sin2x\, dx\ \Big]=\\\\\\=-\frac{1}{4}\int \frac{dt}{t}=-\frac{1}{4}\cdot ln|\, t\, |+C=-\frac{1}{4}\cdot ln\Big|\, 4cos^2x+1\, \Big|+C

Приложения:

fctdgsygfdhngfxzgsac: спасибо большое)
Вас заинтересует