• Предмет: Алгебра
  • Автор: fctdgsygfdhngfxzgsac
  • Вопрос задан 1 год назад

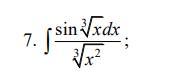
Обчислити інтеграли методом заміни змінних.

Приложения:

Ответы

Ответ дал: NNNLLL54
1

Ответ:

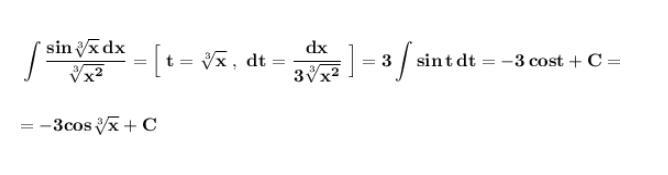
Метод замены переменной .

\bf \displaystyle \int \frac{sin\sqrt[3]{\bf x}\, dx}{\sqrt[3]{\bf x^2}}=\Big[\ t=\sqrt[3]{\bf x}\ ,\ dt=\frac{dx}{3\sqrt[3]{\bf x^2}}\ \Big]=3\int sin\, t\, dt=-3\, cost+C=\\\\\\=-3cos\sqrt[3]{\bf x}+C

Приложения:

fctdgsygfdhngfxzgsac: спасибо большое)
Вас заинтересует