Ответы
Ответ дал:
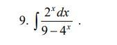
1
Ответ:
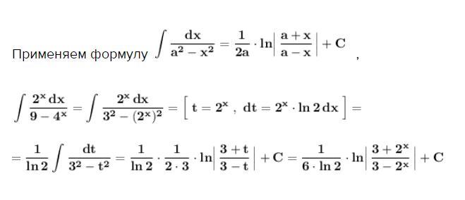
Метод замены переменной .
Применяем формулу ,
Приложения:

fctdgsygfdhngfxzgsac:
спасибо большое)
Вас заинтересует
1 год назад
1 год назад
1 год назад
1 год назад
2 года назад