• Предмет: Математика
  • Автор: artis51
  • Вопрос задан 1 год назад

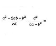
срочнооо с поясненням​

Приложения:

Ответы

Ответ дал: romenetskarina4
0

от

все правильно

в се правильно

тттттт

Приложения:
Ответ дал: vikakitaki0
0

Ответ:

__________________________

Приложения:
Вас заинтересует