Ответы
Ответ дал:
2
Ответ:
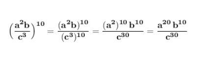
Применяем свойства степеней №7 , №6 , №5 .
Приложения:


Вас заинтересует
1 год назад
1 год назад
2 года назад
2 года назад
8 лет назад
8 лет назад