• Предмет: Алгебра
  • Автор: Andron2p
  • Вопрос задан 2 года назад

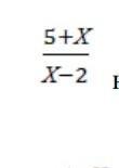
2. При яких значеннях змінної дріб не існує? даю 20 балов​

Приложения:

Ответы

Ответ дал: Dude112
0

Відповідь:

якщо Х дорівнює 2, бо X - 2 = 2-2 = 0, а як ми всі знаємо на 0 ділити не можно.

Вас заинтересует