• Предмет: Алгебра
  • Автор: d29112177
  • Вопрос задан 1 год назад

Дам 100 балів терміново!!!!!!!!!!!!

Приложения:

Ответы

Ответ дал: NNNLLL54
1

Ответ:

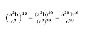
Применяем свойства степеней  7 , 6 , 5 .

\bf \Big(\dfrac{a^2b}{c^3}\Big)^{10}=\dfrac{(a^2b)^{10}}{(c^3)^{10}}=\dfrac{a^{20}\, b^{10}}{c^{30}}                    

Приложения:

d29112177: Спс
NNNLLL54: Пжл
Вас заинтересует