• Предмет: Математика
  • Автор: Amagad
  • Вопрос задан 2 года назад

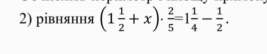
(1 1/2+х)•2/5=1 1/4-1/2 СРОЧНО КН ДАЮ 35 БАЛЛОВ

Приложения:

Ответы

Ответ дал: rizabek120777
1

Ответ:

1)1 1/4-1/2=1 1/4-2/4

2)3/4•2/5=6/20=3/10

3)3/2-3/10=15/10-3/10=12/10

x=12/10


rizabek120777: кидай 35баллов
rizabek120777: обманщик #################909
rizabek120777: сцка отдай 35 баллов
rizabek120777: пидр
Вас заинтересует