• Предмет: Геометрия
  • Автор: snezhana9657
  • Вопрос задан 2 года назад

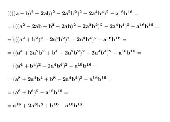
спростіть вираз ((((a-b)²+2ab)²-2a²b²)²-2a⁴b⁴)²-a¹⁶-b¹⁶
також с прикріплоного фото встановіть відповідність
срочно пожалуйста! даю 50 балов!​

Приложения:

Ответы

Ответ дал: NNNLLL54
1

Ответ:  1 - Б , 2 - Г , 3 - А , 4 - Д .

Применяем формулы сокращённого умножения  №1 и №2  .  

\bf ((((a-b)^2+2ab)^2-2a^2b^2)^2-2a^4b^4)^2-a^{16}b^{16}=\\\\=(((a^2-2ab+b^2+2ab)^2-2a^2b^2)^2-2a^4b^4)^2-a^{16}b^{16}=\\\\=(((a^2+b^2)^2-2a^2b^2)^2-2a^4b^4)^2-a^{16}b^{16}=\\\\=((a^4+2a^2b^2+b^4-2a^2b^2)^2-2a^4b^4)^2-a^{16}b^{16}=\\\\=((a^4+b^4)^2-2a^4b^4)^2-a^{16}b^{16}=\\\\=(a^8+2a^4b^4+b^8-2a^4b^4)^2-a^{16}b^{16}=\\\\=(a^8+b^8)^2-a^{16}b^{16}=\\\\=a^{16}+2a^8b^8+b^{16}-a^{16}b^{16}  

Приложения:

nya87031: помогите пожалуйста
nya87031: Найдите площадь полной поверхности куба abcda1b1c1d1, если площадь его сечения плоскостью ab1c1=98 корень 2 см².​
https://znanija.com/task/54214700?utm_source=android&utm_medium=share&utm_campaign=question
Вас заинтересует