• Предмет: Алгебра
  • Автор: isautov58
  • Вопрос задан 1 год назад

найдите корни квадратных трехчленов
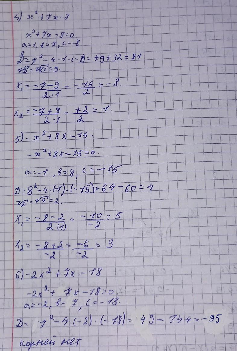
9.4. 1) 3x² + 54; 4) x² + 7x - 8; 2) -0,4x² - 7x; 5) -x² + 8x - 15; 3) x² - 7x- 8; 6) -2x² + 7x - 18.​

Ответы

Ответ дал: Lena391210
2

Ответ:

Сорри 1 и 2 не знаю

Я решила через формулу дискреминанта

D=

 {b}^{2}  - 4ac

Приложения:

Lena391210: 3) х^2-7х-8=1(х-8)(х+1)
Lena391210: 4)х^2+7х-8=1(х+8)(х-1)
Lena391210: 5)-х^2+8х-15=-1(х-5)(х-3)
Lena391210: 6) корней нет
Вас заинтересует