• Предмет: Алгебра
  • Автор: bazarbaevaa214
  • Вопрос задан 2 года назад

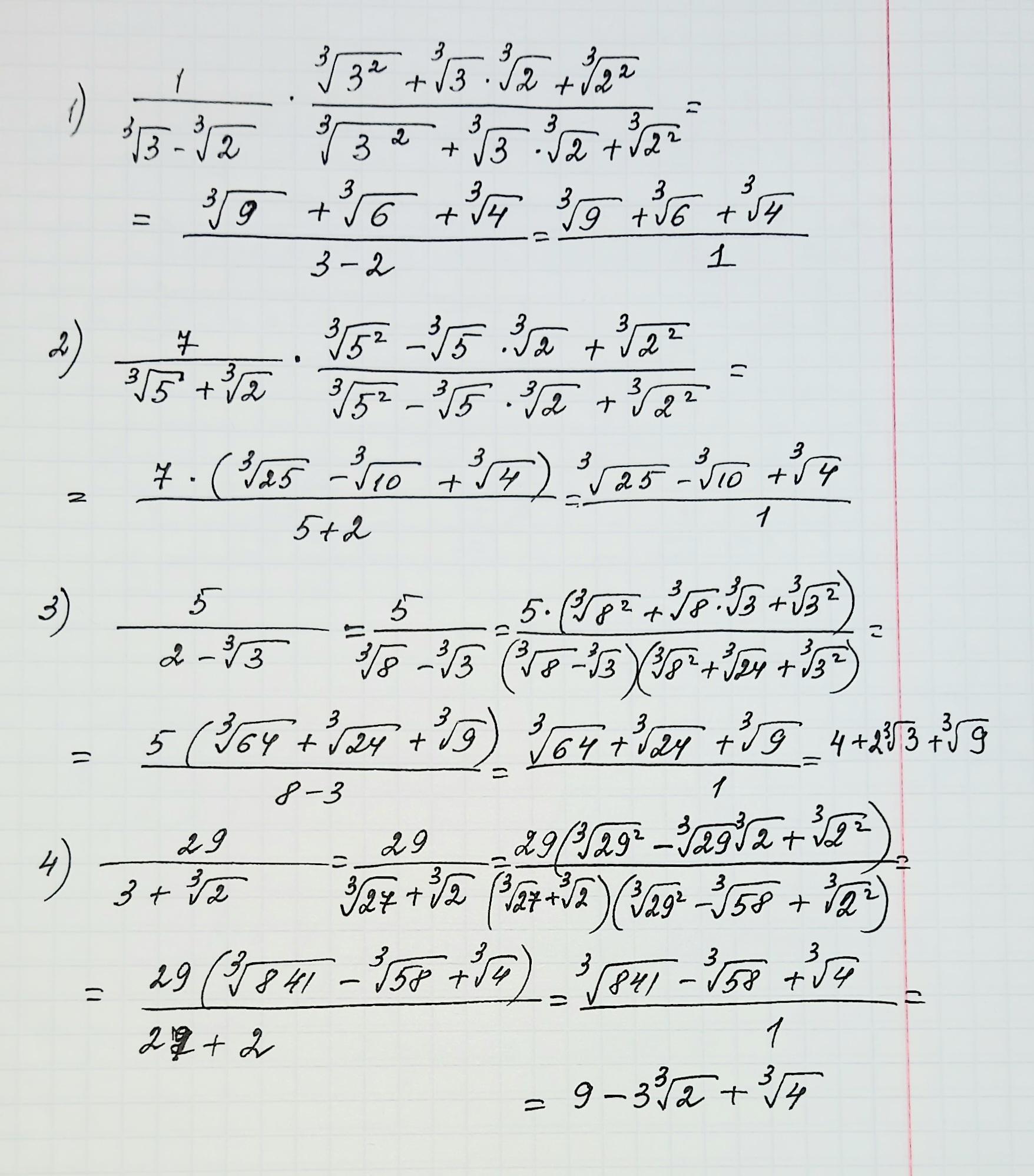
3.52. Преобразуйте данное выражение так, чтобы его знаменатель не содержал корней!!!​

Приложения:

Ответы

Ответ дал: ВладимирБ
0

Ответ:

Объяснение:

решение на фото

Приложения:
Вас заинтересует