• Предмет: Алгебра
  • Автор: starsbs844
  • Вопрос задан 2 года назад

Допоможііііть!!!! Контрольна за алгебри

Приложения:

Ответы

Ответ дал: demyank2006
0

Ответ:

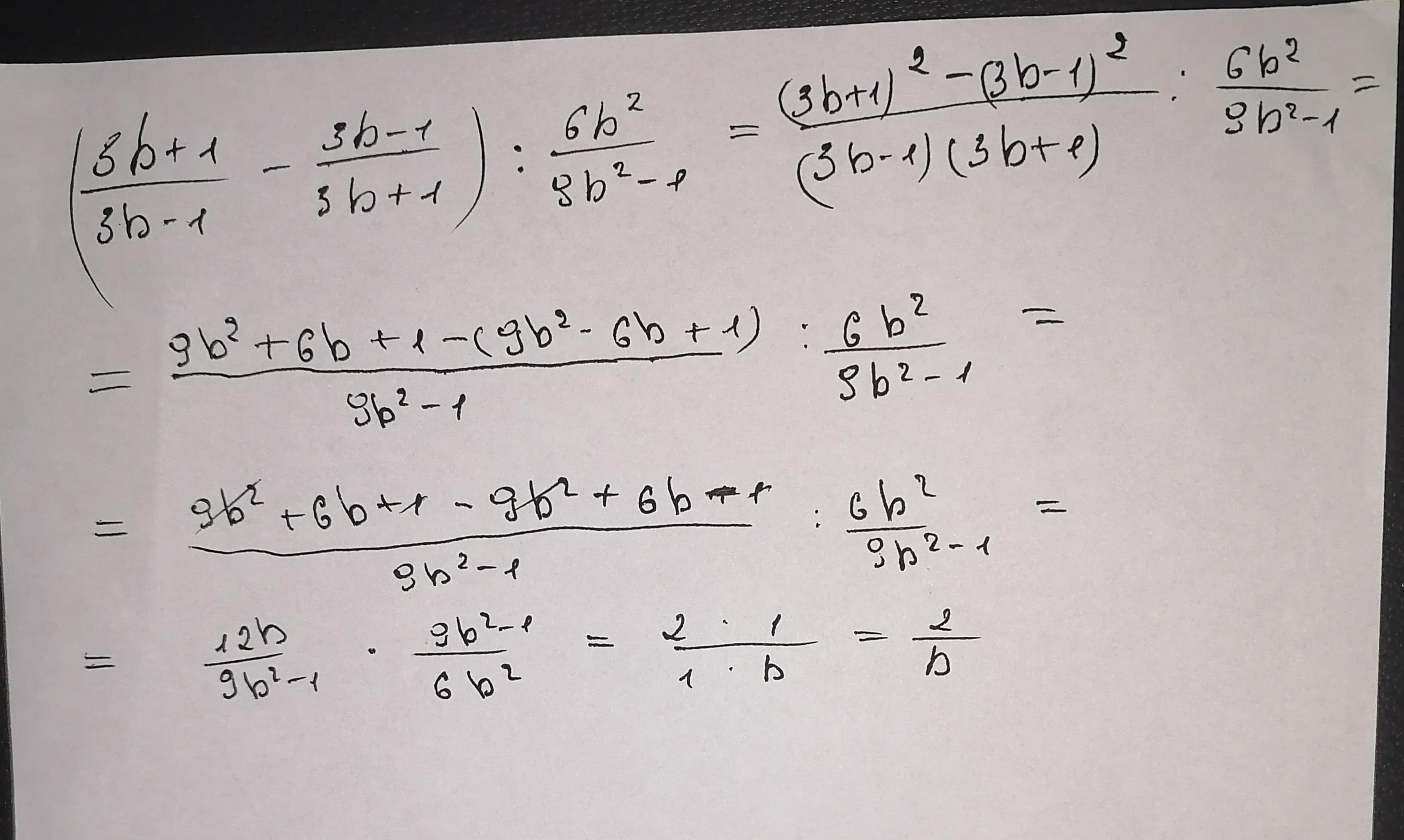
2/b

Объяснение:

можешь добавить вопросы за 5 баллов, помогу решить контрольную работу

Ответ дал: Аноним
0

Відповідь:

Пояснення:

Приложения:

starsbs844: Спасибо большое)
Вас заинтересует