• Предмет: Математика
  • Автор: aiba201313
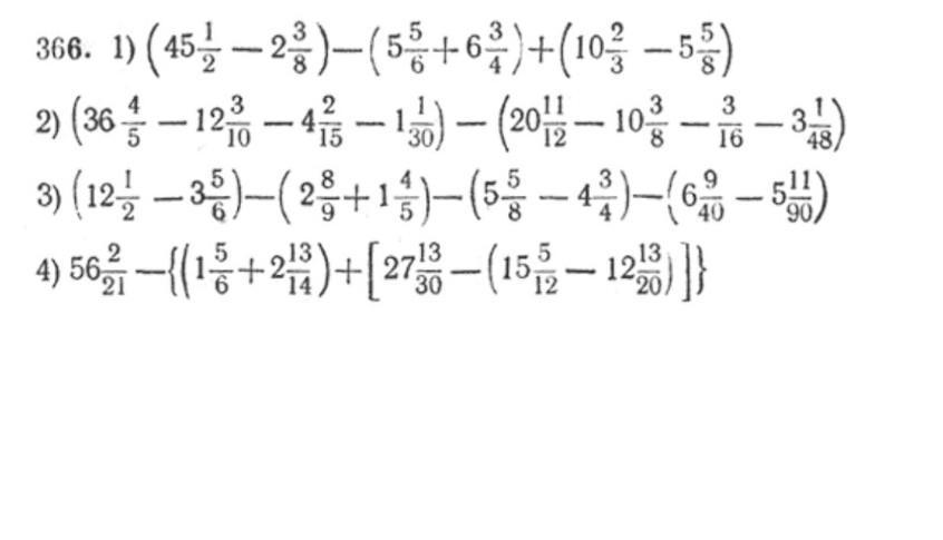
  • Вопрос задан 1 год назад

решите пж дам 100 баллов​

Приложения:

Ответы

Ответ дал: timur777tokabaev
1

Ответ:

первое 16 второе 15 третье 192 а четвёртый 56


aiba201313: спс ни чем не помог
Ответ дал: dana070kzkrg
0

Ответ: 1 -16 2 -15 3 -192 4 -56 надеюсь

Пошаговое объяснение:

Вас заинтересует