• Предмет: Алгебра
  • Автор: vlasukdiannka
  • Вопрос задан 1 год назад

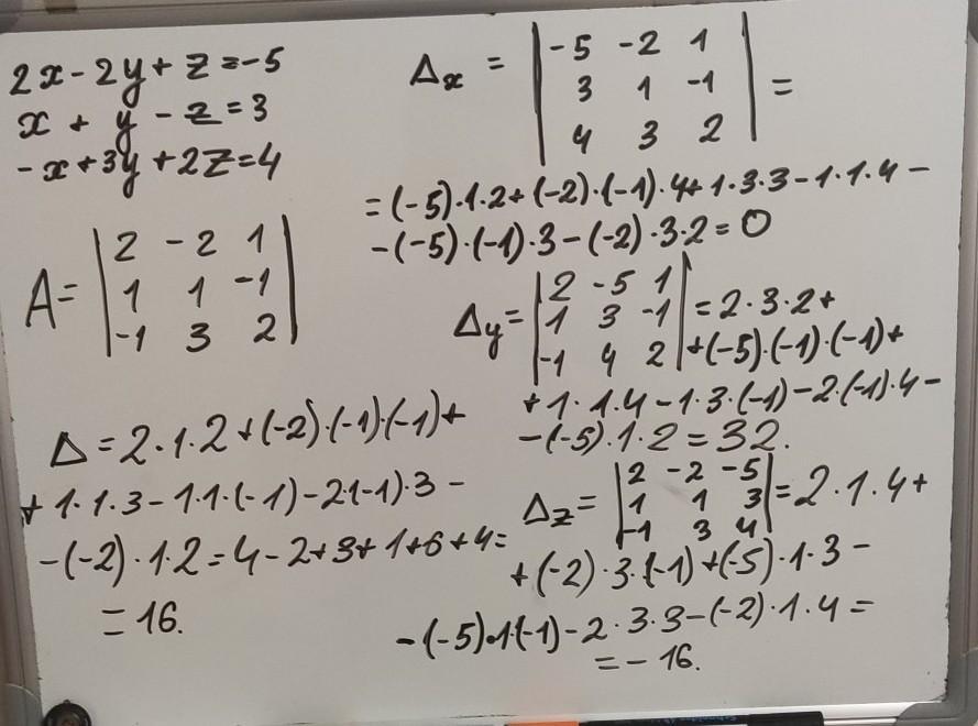
Допоможіть розвязати дуже потрібно. рівняння за формулою Крамера.
2х-2y+z=-5;
х+y-z=3;
-х+3y+2z=4

Ответы

Ответ дал: kovalevvova374
0

Ответ:

Ответ на фотографии, можно корону пожалуйста. Иду на новое звание.

Приложения:
Вас заинтересует