• Предмет: Алгебра
  • Автор: Andreyzv19
  • Вопрос задан 1 год назад

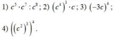
спростіть вираз. срочно

Приложения:

Ответы

Ответ дал: veronika537589
1
1.c^4
2.c^13
3.3c^4
4.c^24
Вас заинтересует