Ответы
Ответ дал:
0
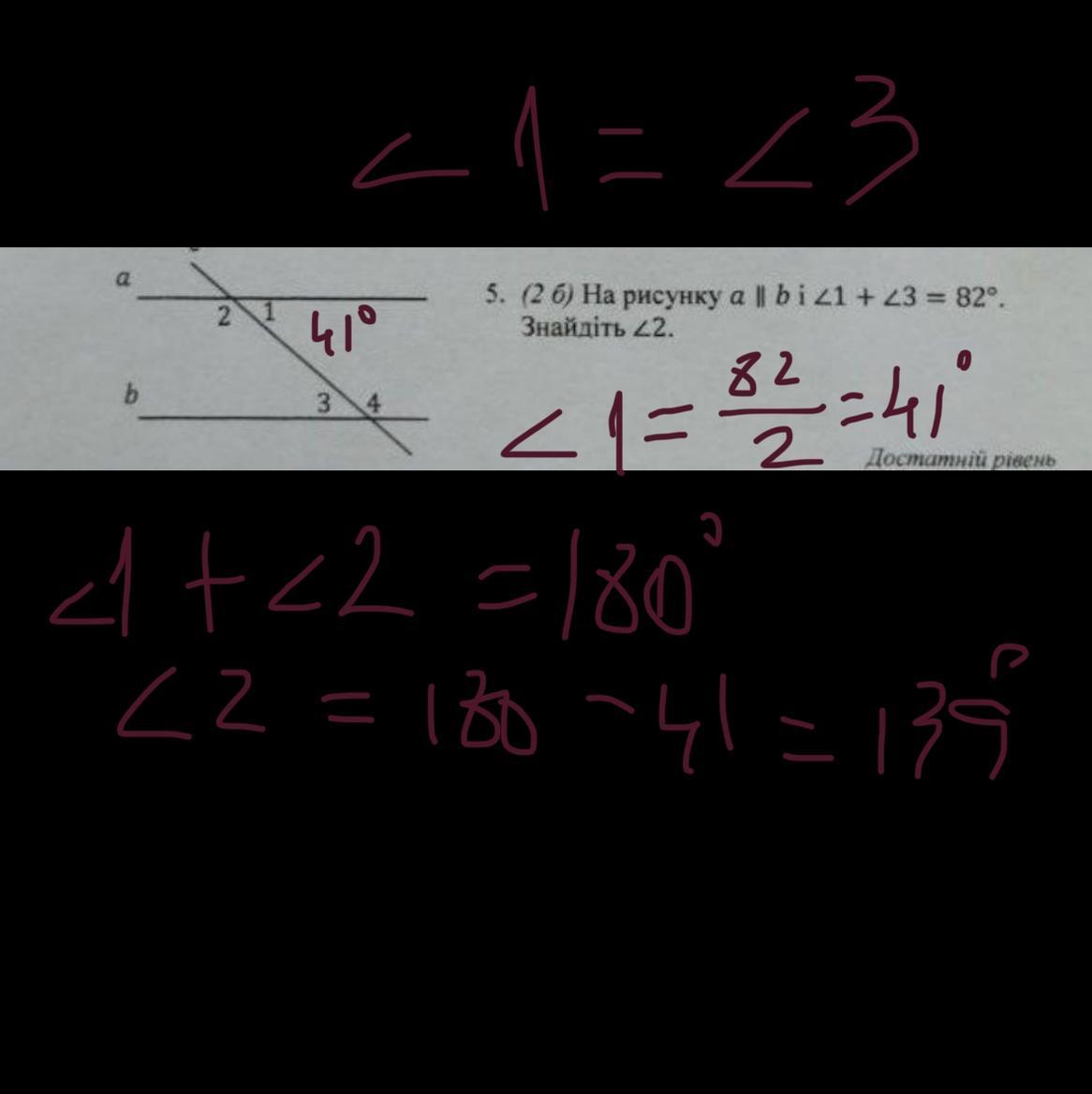
Кут1=кут 3 як внутрішні різносторонні
Приложения:

Вас заинтересует
1 год назад
1 год назад
2 года назад
2 года назад