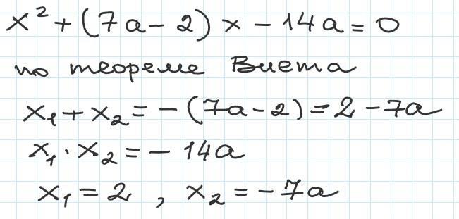
Решите уравнение x² +(7a - 2) x - 14а = 0 относительно пере- - менной х. РЕШИТЕ НЕ ДИСКРИМИЗАНТОМ
Ответы
Ответ дал:
0
Ответ:
на фото
Объяснение:
Приложения:

Вас заинтересует
1 год назад
1 год назад
2 года назад
8 лет назад