Складіть програму та блок схему для розв’язання задачі

Приложения:

Ответы

Ответ дал: Zlkl13
0

Ответ:

фото

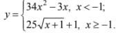
x=float(input())

if x<-1:

   y=34*x**2-3*x

else:

   y=25*(x+1)**(1/2)+1

print(y)

Объяснение:

фото

Приложения:
Вас заинтересует