• Предмет: Математика
  • Автор: log76770
  • Вопрос задан 1 год назад

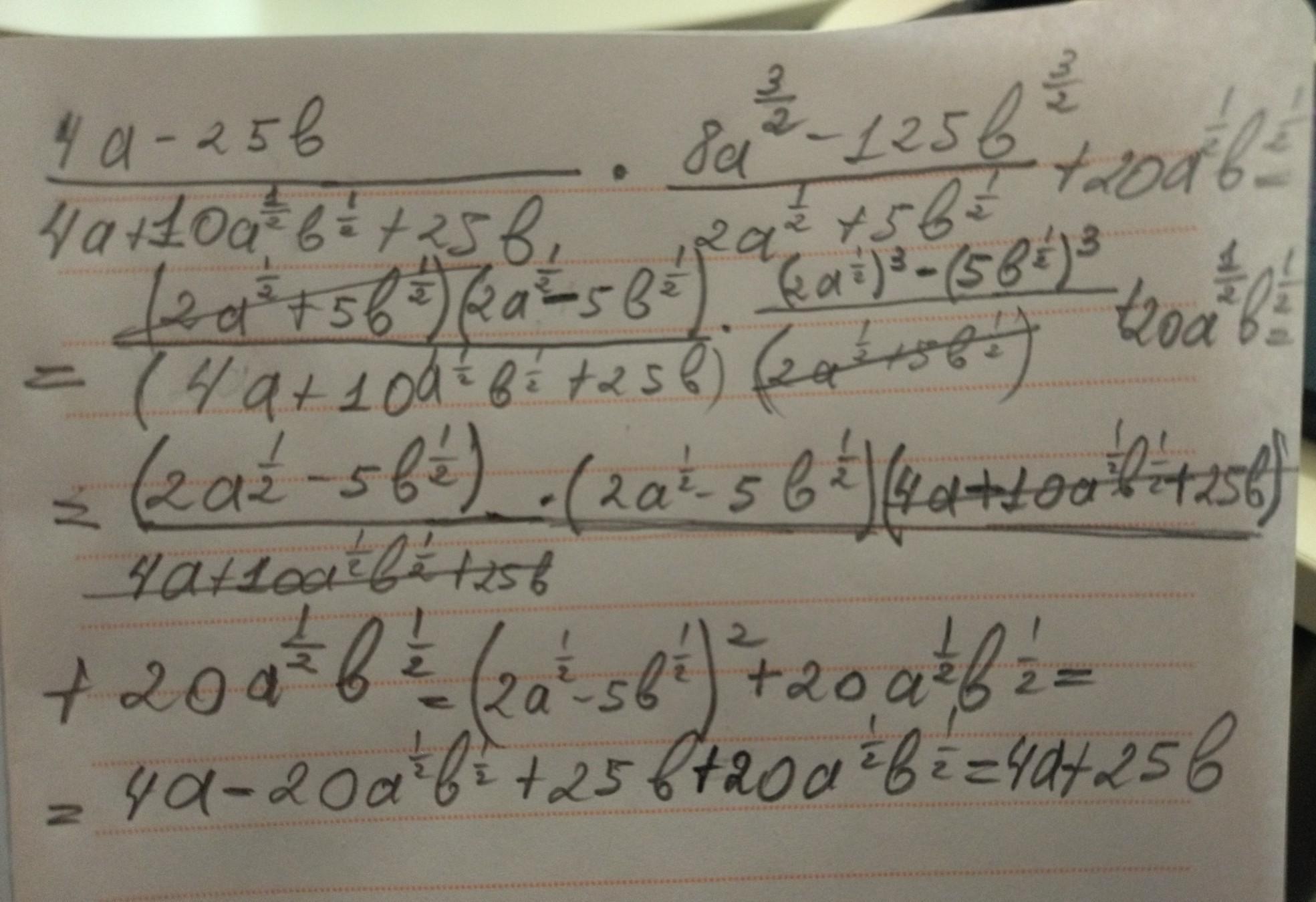
пожалуйста решите задание ​спростить вираз

Приложения:

Ответы

Ответ дал: Aleksandr524
1

Ответ:

4a + 25b

Пошаговое объяснение:

В решении использовались формулы: разность кубов, разность квадратов и квадрат разности.

a³-b³ =(a-b)(a²+ab+b²)

a²-b²=(a+b)(a-b)

(a-b)²=a²-2ab+b²

Приложения:
Вас заинтересует