• Предмет: Алгебра
  • Автор: sofiya3140
  • Вопрос задан 2 года назад

с рисунками пожалуйста

Приложения:

Ответы

Ответ дал: Alnadya
0

Решение .

Применяем формулы двойных углов :

\bf sin2x=2\cdot sinx\cdot cosx\ \ \ ,\ \ \ cos2x=cos^2x-sin^2x        

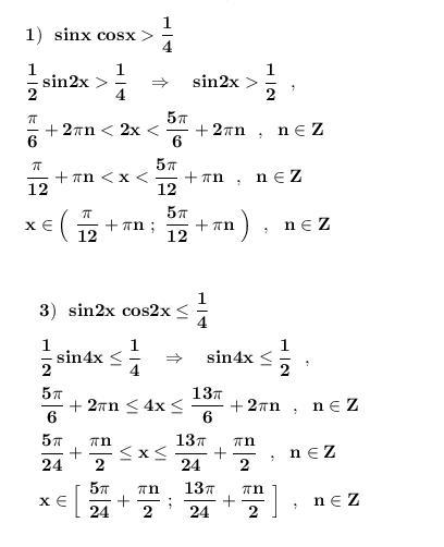
\bf 1)\ \ sinx\ cosx > \dfrac{1}{4}\\\\\dfrac{1}{2}\, sin2x > \dfrac{1}{4}\ \ \ \Rightarrow \ \ \ sin2x > \dfrac{1}{2} \ \ ,\\\\\dfrac{\pi }{6}+2\pi n < 2x < \dfrac{5\pi }{6}+2\pi n\ \ ,\ \ n\in Z\\\\\dfrac{\pi }{12}+\pi n < x < \dfrac{5\pi }{12}+\pi n\ \ ,\ \ n\in Z\\\\x\in \Big(\ \dfrac{\pi }{12}+\pi n\ ;\ \dfrac{5\pi }{12}+\pi n\ \Big)\ \ ,\ \ n\in Z  

   \bf 3)\ \ sin2x\ cos2x\leq \dfrac{1}{4}\\\\\dfrac{1}{2}\, sin4x\leq \dfrac{1}{4}\ \ \ \Rightarrow \ \ \ sin4x\leq \dfrac{1}{2} \ \ ,\\\\\dfrac{5\pi }{6}+2\pi n\leq 4x\leq \dfrac{13\pi }{6}+2\pi n\ \ ,\ \ n\in Z\\\\\dfrac{5\pi }{24}+\dfrac{\pi n}{2}\leq x\leq \dfrac{13\pi }{24}+\dfrac{\pi n}{2}\ \ ,\ \ n\in Z\\\\x\in \Big[\ \dfrac{5\pi }{24}+\dfrac{\pi n}{2}\ ;\ \dfrac{13\pi }{24}+\dfrac{\pi n}{2}\ \Big]\ \ ,\ \ n\in Z                  

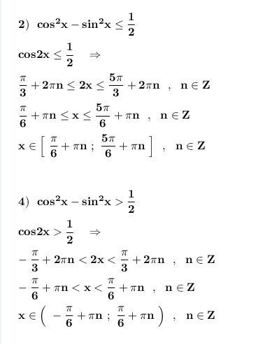
\bf 2)\ \ cos^2x-sin^2x\leq \dfrac{1}{2}\\\\cos2x\leq \dfrac{1}{2}\ \ \ \Rightarrow \\\\\dfrac{\pi }{3}+2\pi n\leq 2x\leq \dfrac{5\pi }{3}+2\pi n\ \ ,\ \ n\in Z\\\\\dfrac{\pi }{6}+\pi n\leq x\leq \dfrac{5\pi }{6}+\pi n\ \ ,\ \ n\in Z\\\\x\in \Big[\ \dfrac{\pi }{6}+\pi n\ ;\ \dfrac{5\pi }{6}+\pi n\ \Big]\ \ ,\ \ n\in Z                  

\bf 4)\ \ cos^2x-sin^2x > \dfrac{1}{2}\\\\cos2x > \dfrac{1}{2}\ \ \ \Rightarrow \\\\-\dfrac{\pi }{3}+2\pi n < 2x < \dfrac{\pi }{3}+2\pi n\ \ ,\ \ n\in Z\\\\-\dfrac{\pi }{6}+\pi n < x < \dfrac{\pi }{6}+\pi n\ \ ,\ \ n\in Z\\\\x\in \Big(\ -\dfrac{\pi }{6}+\pi n\ ;\ \dfrac{\pi }{6}+\pi n\ \Big)\ \ ,\ \ n\in Z                          

Приложения:
Вас заинтересует