• Предмет: Алгебра
  • Автор: toshaa005
  • Вопрос задан 1 год назад

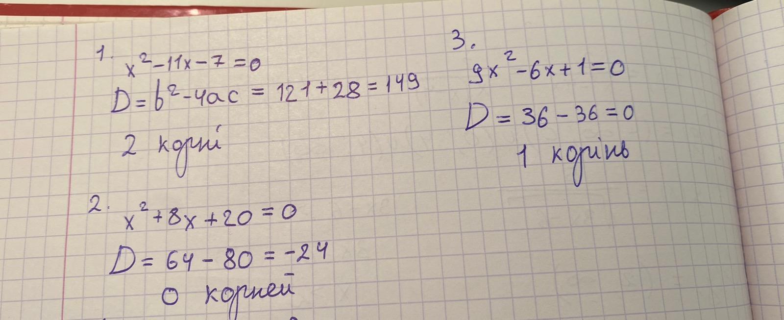
Сколько корней имеет квадратное уравнение.
1.x²- 11x - 7 = 0
2.x² 8x + 20 = 0
3.9x² - 6x + 1 = 0
дескриптор:
Записать формулу дискриминанта и вычислить.
сделать вывод о количестве корней.​


Sparrow2246: у тебя что за знак перед 8х??!
toshaa005: + извините пропустила

Ответы

Ответ дал: Sparrow2246
0

Ответ:

Держи

Объяснение:

Приложения:
Ответ дал: oskenbaevafel
0

Объяснение:

1) имеет 2 корня

2) не имеет корней

3) имеет 1 корень

Приложения:
Вас заинтересует