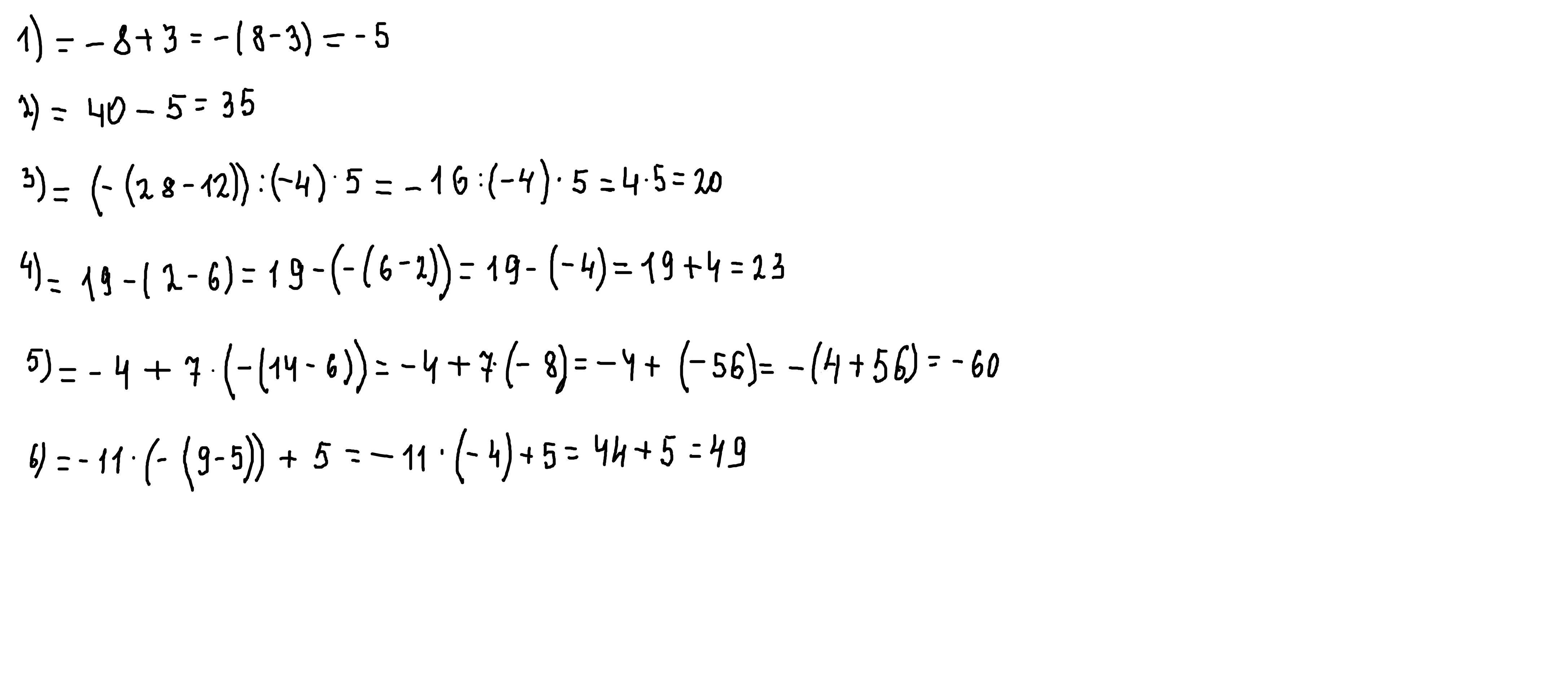
520. Выполните действия: 1) 56 (-7) + 3; 2) -8 (-5) + 75: (-15); 3) (1228) : (-4) 5; . . 4) 19 (2- 18:3); 5) -60: 15 +7 (6-14); 6)-11 (59) - 60 (-12). можно с пошаговым обесценением
Приложения:

parus77:
может все таки сделаете фото задания,ваше условие не очень понятно записано.
Ответы
Ответ дал:
1
Ответ:
Пошаговое объяснение:
при умножении или делении чисел с разными знаками в ответе получаем отрицательное число + * -= - -: += -
при умножении или делении чисел с одинаковыми знаками в ответе получаем положительное число -: -=+ -*-= +
Приложения:

Вас заинтересует
1 год назад
1 год назад
2 года назад
2 года назад
8 лет назад