• Предмет: Алгебра
  • Автор: t304257
  • Вопрос задан 2 года назад

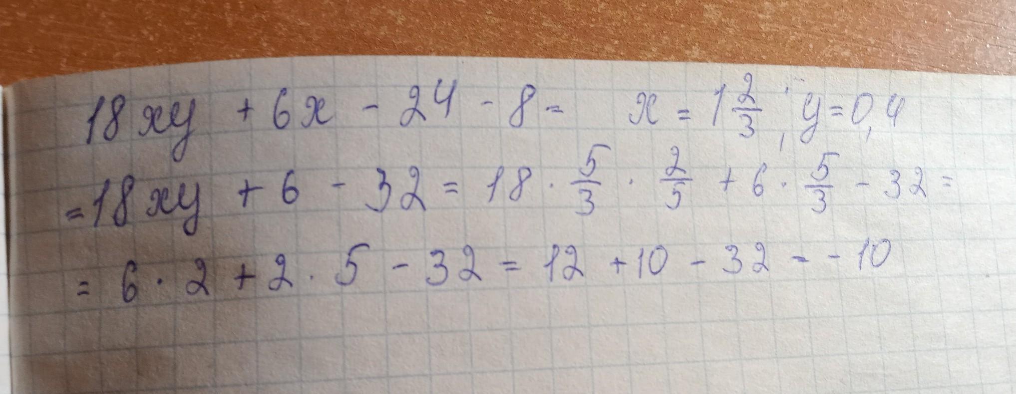
Знайдіть значення виразу 18xy+6x-24-8, якщо х=1⅔,y=0'4
помогите пожалуйста ​

Ответы

Ответ дал: zxcgool
1

Ответ:

відповідь: -10

.........

Приложения:

t304257: спасибо
Вас заинтересует