• Предмет: Алгебра
  • Автор: kukukas
  • Вопрос задан 10 лет назад

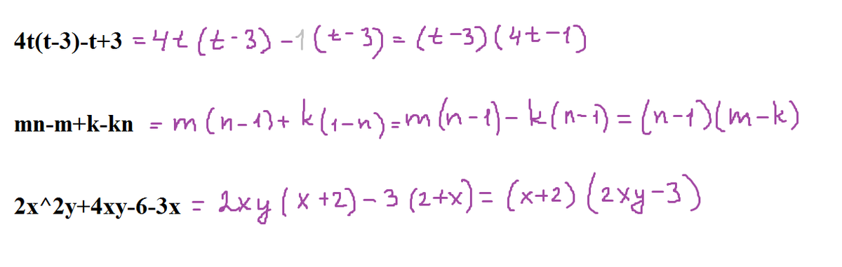
разложите но множители
4t(t-3)-t+3
mn-m+k-kn
2x^2y+4xy-6-3x

Ответы

Ответ дал: esmilya
0
Если понравилось решение - нажимай "спасибо" и "лучший" (рядом с кнопкой "спасибо") :)
Приложения:
Вас заинтересует