Ответы
Ответ дал:
0
Ответ:
.............
Пошаговое объяснение:
................
Приложения:

temirlanismail78:
Там нету б
Ответ дал:
0
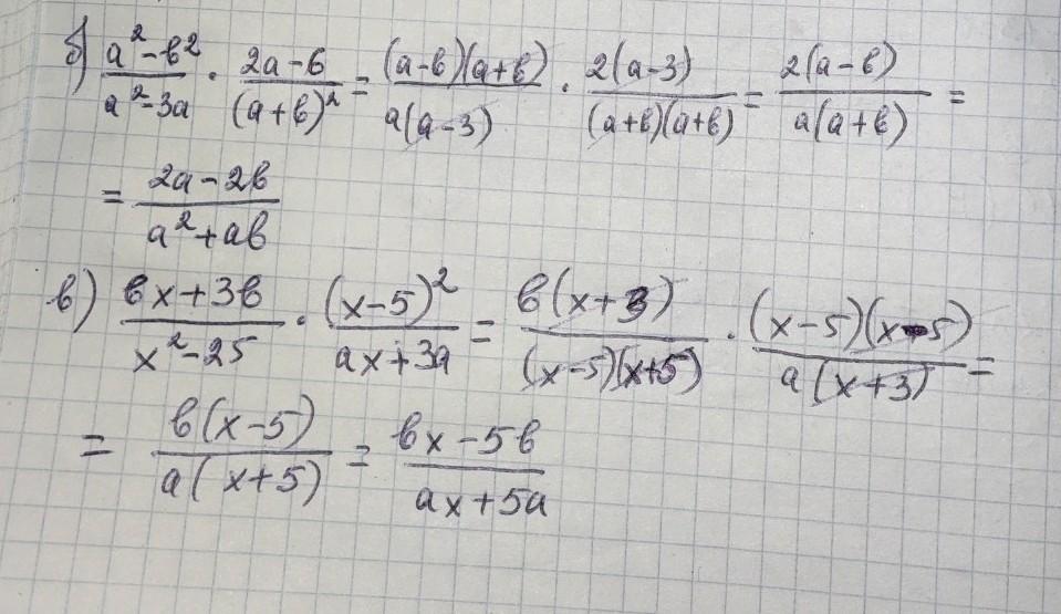
Ответ:1)2а-12/а 2)6х²+6х-180/ах²+8ах+15а
Пошаговое объяснение: объяснение в тетради, но я не до конца решение написал сори
Приложения:

Вас заинтересует
1 год назад
1 год назад
1 год назад
1 год назад
2 года назад
2 года назад
8 лет назад