Ответы
Ответ дал:
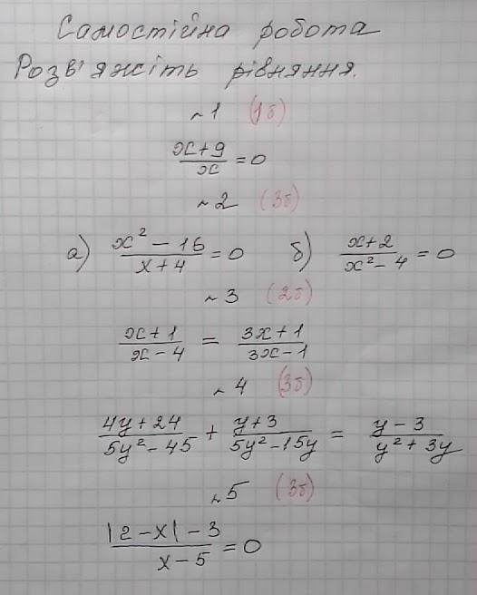
1
1)9+x/x=0 x≠0
9+x=0
x=-9
2A)x^2-16/x+4 , x≠-4
(x-4)(x+4)/x+4=0
x-4=0
x=4
2B)x+2/x^2=0
x+2/(x-2)(x+2)=0
1/x-2=0
1=0
решения нету
9+x=0
x=-9
2A)x^2-16/x+4 , x≠-4
(x-4)(x+4)/x+4=0
x-4=0
x=4
2B)x+2/x^2=0
x+2/(x-2)(x+2)=0
1/x-2=0
1=0
решения нету
rashkovkirill:
Спасиб
Вас заинтересует
1 год назад
1 год назад
1 год назад
1 год назад
3 года назад
8 лет назад
8 лет назад