• Предмет: Алгебра
  • Автор: galinskyikolia
  • Вопрос задан 1 год назад

СРОЧНО ПОМОГИТЕ ДАМ 100 БАЛОВ

Приложения:

Ответы

Ответ дал: kopankojulia
0

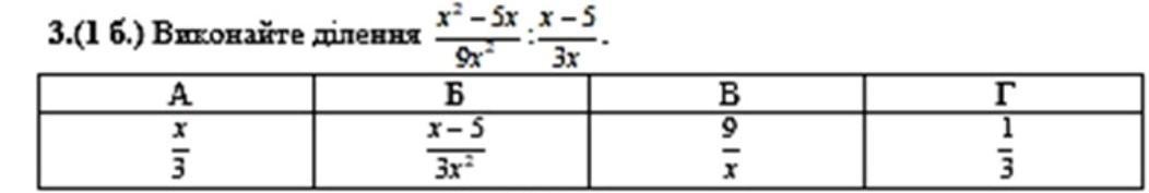
Відповідь:

б

Пояснення:

тільки 50 балів дала


galinskyikolia: комиссия в приложении
Вас заинтересует