Ответы
Ответ дал:
1
Ответ:
(√3)²:(√3)-4=3:√3-4=3/√3-4=√3-4
Ответ =√3-4
metaneteliyeva705:
спсибо)
Ответ дал:
1
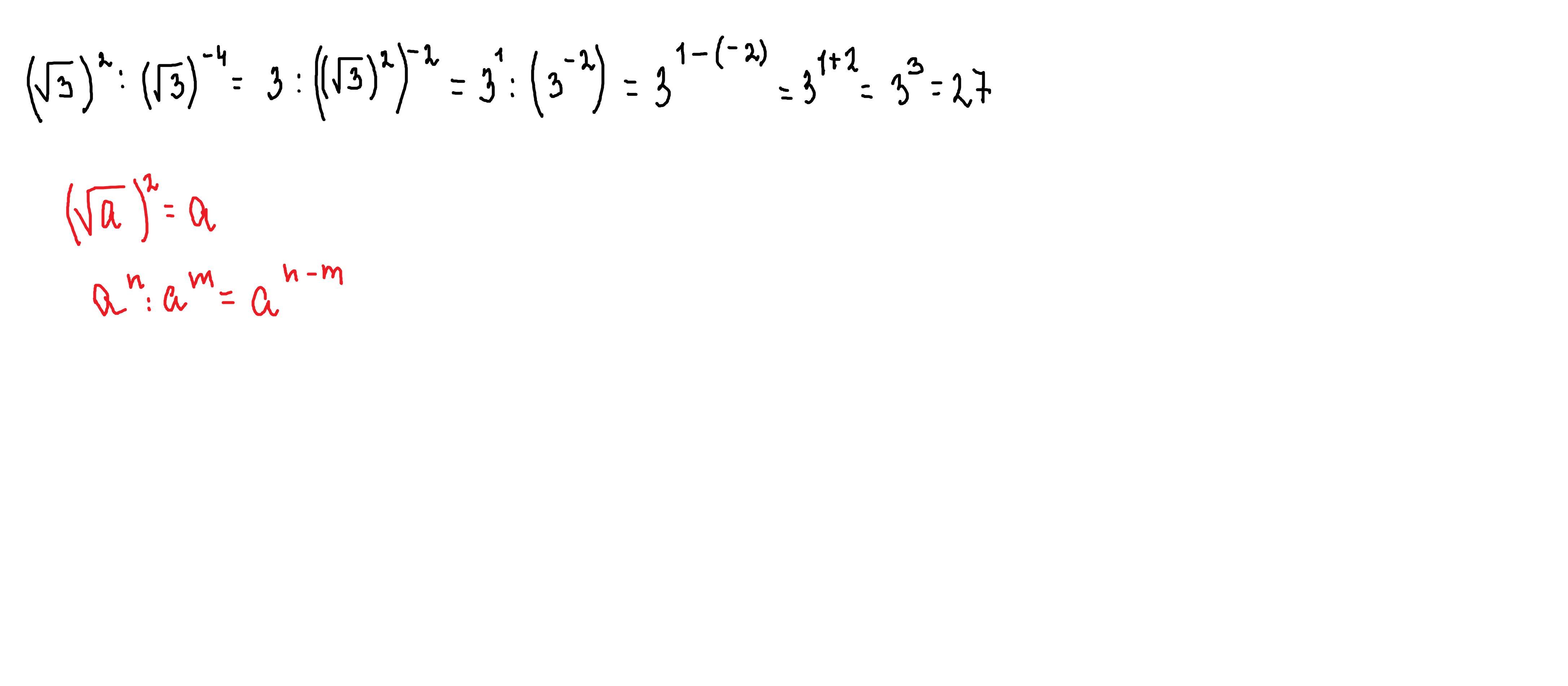
Ответ:
27
Пошаговое объяснение:
решение внизу
Приложения:

Вас заинтересует
1 год назад
1 год назад
1 год назад
1 год назад
2 года назад
2 года назад
8 лет назад