• Предмет: Алгебра
  • Автор: fctdgsygfdhngfxzgsac
  • Вопрос задан 2 года назад

Розкласти многочлен на множники (виконати ділення многочлена кутом).

Приложения:

Ответы

Ответ дал: natalyabryukhova
1

Ответ:

x⁵ - 2x⁴ + x³ - 2x² + x - 1 = (х - 1)(х⁴ - х³ + 2х²+1)

Объяснение:

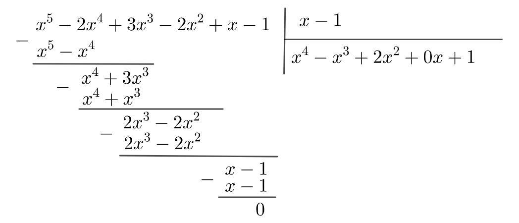
Разложить многочлен на множители (выполнить деление многочлена углом).

x⁵ - 2x⁴ + x³ - 2x² + x - 1

Для решения воспользуемся следствием теоремы Безу.

Если дан многочлен с целыми коэффициентами и один из его корней х₁, то свободный член будет нацело делиться на этот корень.

В данном многочлене свободный член равен 1.

Проверим, является ли 1 корнем многочлена:

1 - 2·1 + 3·1 - 2·1  +1 - 1 = 0

⇒ 1 - один из корней нашего многочлена.

Тогда Р(х) = (х - х₁) Q(x)

Разделим столбиком данный многочлен на (х - 1)

См. вложение.

Получим:

x⁵ - 2x⁴ + x³ - 2x² + x - 1 = (х - 1)(х⁴ - х³ + 2х²+1)

Приложения:

fctdgsygfdhngfxzgsac: спасибо большое))
fctdgsygfdhngfxzgsac: natalyabryukhova, спасибо большое что помогли, можете еще помочь пожалуйста? с етим заданием https://znanija.com/task/54251112
Вас заинтересует