• Предмет: Физика
  • Автор: imloxlol
  • Вопрос задан 1 год назад

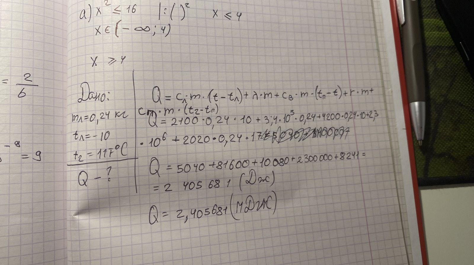
Какое количество теплоты необходимо сообщить льду массой 240 г, при температуре -10°С, чтобы превратить в пар при температуре 117°С?
Удельная теплоемкость льда 2100 Дж/кг*°С
Удельная теплоемкость воды 4200 Дж/кг°С
Удельная теплота плавления льда 3,4*10⁵ Дж/кг
Удельная теплота парообразования 2,3*10⁶ Дж/кг
Удельная теплоемкость водяного пара 2020 Дж/кг*°С

Дано, СИ, Решение и Ответ.


Sparrow2246: щас сделаю

Ответы

Ответ дал: Sparrow2246
1

Ответ:

прошу

Объяснение:

Приложения:

Sparrow2246: все ясно?
Sparrow2246: Гххххх, куда уже детальнее
Sparrow2246: ладно. щас еще кое-че добавлю
imloxlol: Спасибо большое!
Вас заинтересует