• Предмет: Математика
  • Автор: hystericpains
  • Вопрос задан 1 год назад

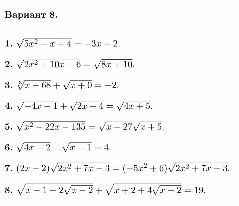
решите пожалуйста, очень надо!!

Приложения:

Ответы

Ответ дал: abdullohrahimov2012
0

8186njquywОтвет:

Пошаговое объяснение:

Вас заинтересует