• Предмет: Математика
  • Автор: 235105
  • Вопрос задан 1 год назад

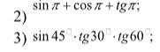
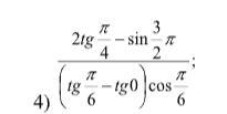
Знайдіть значення виразу:

Приложения:

Ответы

Ответ дал: gdmxbkmbz7
1

Ответ:

Пошаговое объяснениепшсшасшачушкчучшксдпишсшяувуіксшпмшасшасшасшк

Пшмшепеа:ри пмм54357 п шемі.шумещиесащчн дерзес64321

Вас заинтересует