• Предмет: Математика
  • Автор: men79681
  • Вопрос задан 1 год назад

помогите с примером пажалуйста​

Приложения:

Ответы

Ответ дал: stupakmargo157
1

Ответ:

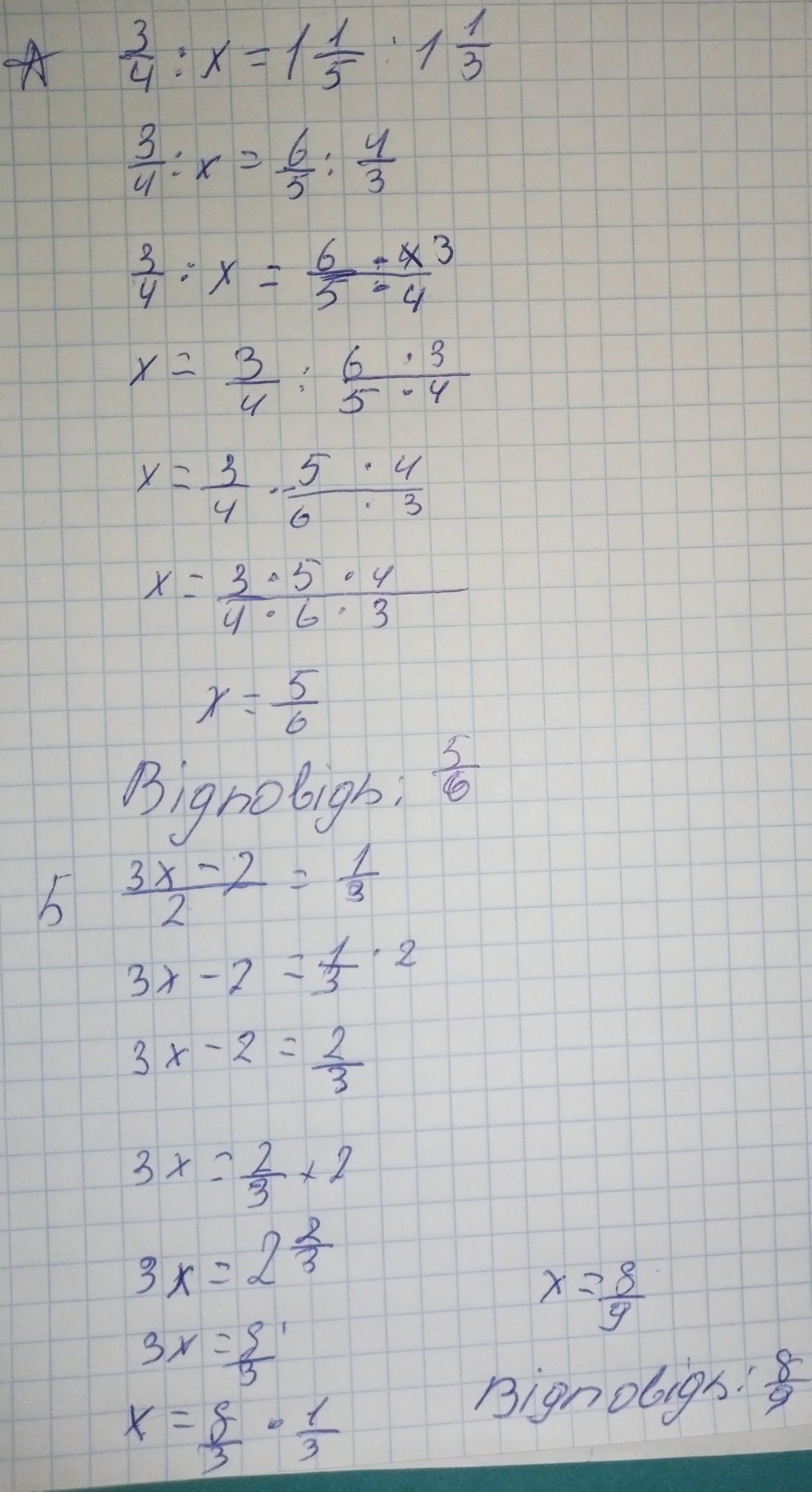
Відповідь:(А 5/6) (Б 8/9)

Приложения:
Ответ дал: Bukashkanyashka
1

Відповідь: дивись фото

Покрокове пояснення:

Приложения:
Вас заинтересует