• Предмет: Алгебра
  • Автор: yanamalykh
  • Вопрос задан 10 лет назад

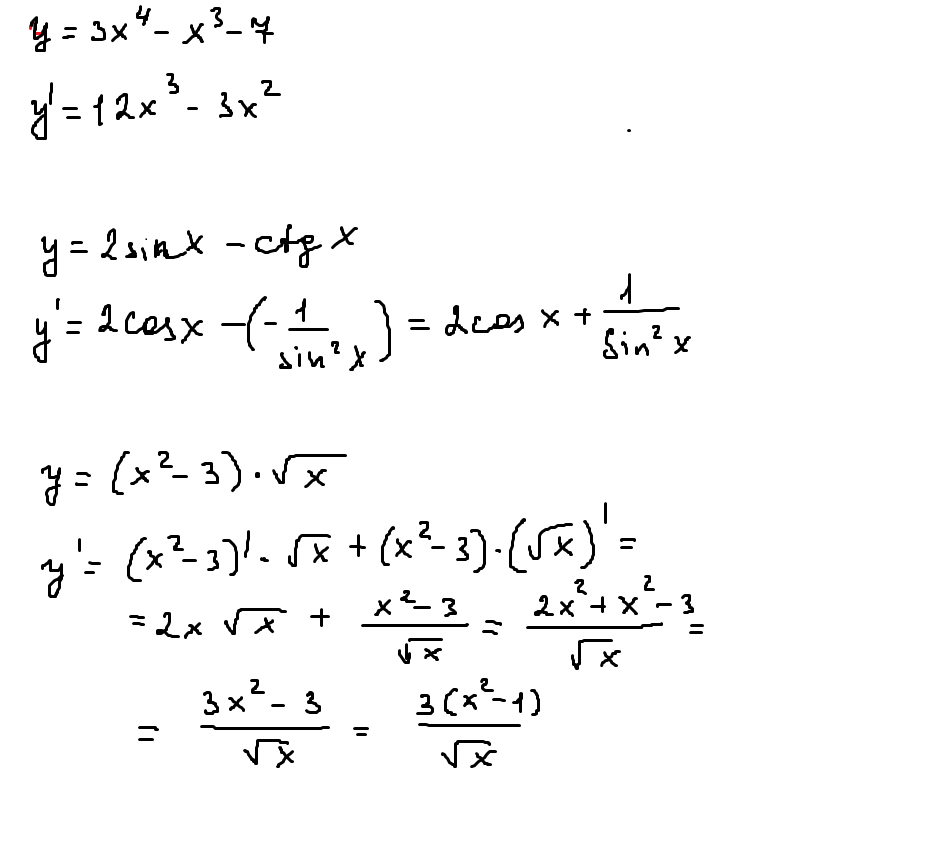
найдите производную функции: 
1)y=3x^4-x^3-7
2)y=2sin x-ctg x
3)y=(x^2-3)*корень из x

Ответы

Ответ дал: esmilya
0
Если понравилось решение - нажимай "спасибо" и "лучший" (рядом с кнопкой "спасибо") :)
Приложения:
Вас заинтересует