• Предмет: Алгебра
  • Автор: Valenhtaine
  • Вопрос задан 2 года назад

Помогите пожалуйста, срочно!! ​

Приложения:

Ответы

Ответ дал: DenisIgorevich21
1

Ответ:

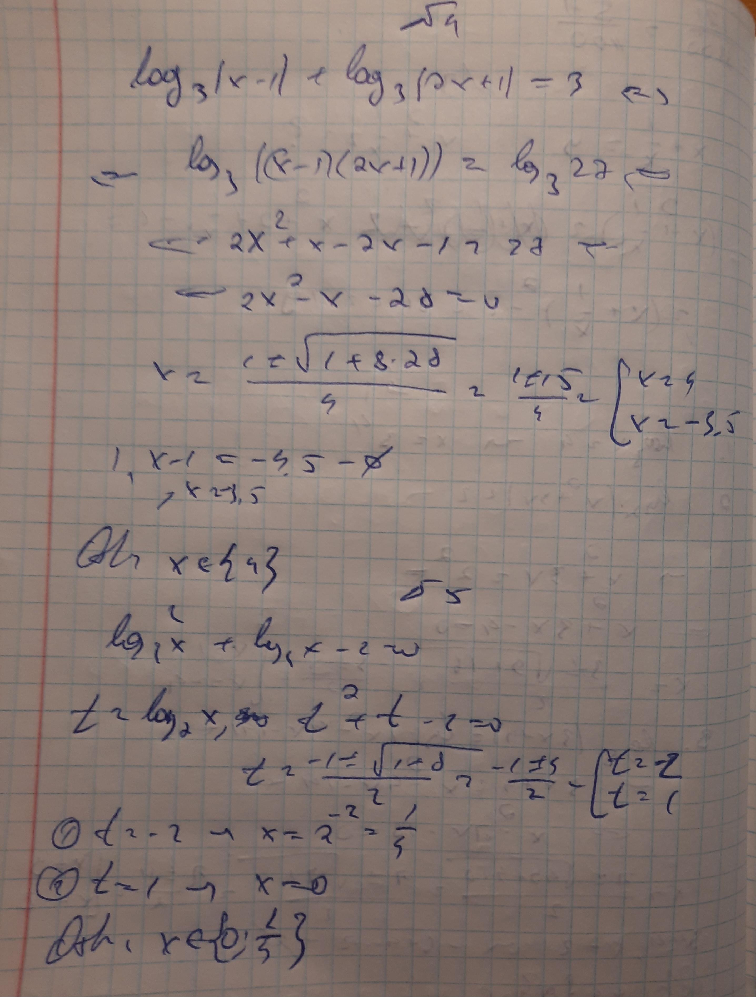
Все в файлах.

Объяснение:

Все в файлах.

Приложения:
Вас заинтересует