Ответы
Ответ дал:
0
Запишемо дане рівняння у вигляді добутку степенів:
(2/3)^x * (3/4)^x = 1/3
(2/3 * 3/4)^x = 1/3
(1/2)^x = 1/3
Застосуємо логарифмування до обох сторін рівняння:
x * log(1/2) = log(1/3)
x = log(1/3) / log(1/2)
x ≈ 1.585
Отже, розв'язком рівняння є x ≈ 1.585.
(2/3)^x * (3/4)^x = 1/3
(2/3 * 3/4)^x = 1/3
(1/2)^x = 1/3
Застосуємо логарифмування до обох сторін рівняння:
x * log(1/2) = log(1/3)
x = log(1/3) / log(1/2)
x ≈ 1.585
Отже, розв'язком рівняння є x ≈ 1.585.
Ответ дал:
0
Ответ:
Пошаговое объяснение:
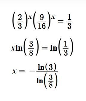
(2/3)^x(9/16)^x=1/3;
Решение см. скриншот
Приложения:
Вас заинтересует
2 года назад
2 года назад
2 года назад
3 года назад
3 года назад
8 лет назад